Answers:

  1. a) Answer to #1a

b) Answer to #1b
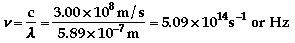
c) This is in the visible spectrum.
d)Answer to #1d

  1.  
  2. Answer to #5
  3. Answer to #6

Answer to #7
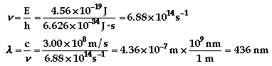
The color of light associated with 688 nm is red.

  1.  

Answer to #8

  1.  

Answer to #9
The color of light associated with 436 nm is violet.