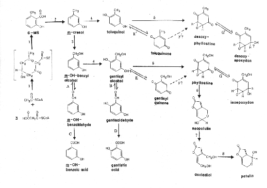
Patulin Biosynthetic Pathway


Revised

From:

Priest, J.W. and Light, R.J., Applications of HPLC to Quantitation of Metabolites and Enzymes of the Patulin Pathway from Penicillium patulum. J. Chromatog. 513, 237-246 (1990).