HOMEWORK #1
SOLUTIONS

        Chapter 1, Exercises 1.4(b), 1.6(b), 1.8(b), 1.10(b); Problems 1.2, 1.3, 1.6, 1.10
 

1.4(b)


 

1.6(b)


 

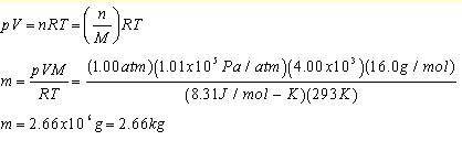
1.8(b)

1.10(b)

1.2

1.3

1.6


 

1.8