CHM 4410-01

HOMEWORK #11

SOLUTIONS

November 30, 1998


 


Chapter 25, Exercises #25.2(b), 25.4(b), 25.6(b), 25.8(b), 25.10(b), 25.13(b)
 

25.2(b)


 

25.4(b)


 

25.6(b)


 

25.8(b)


 

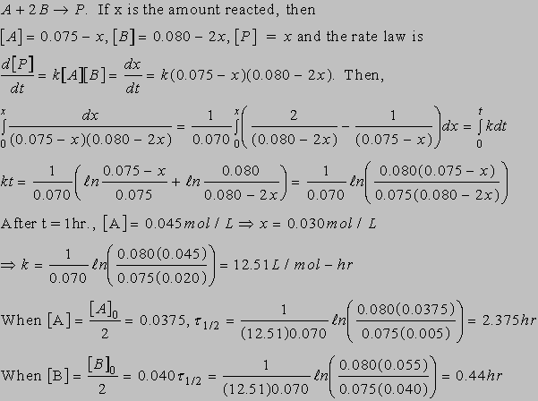
25.10(b)


 

25.13(b)