CHM 4410-01

HOMEWORK #6

SOLUTIONS

October 12, 1998


 
 

Chapter 5, Exercises #5.2(b), 5.4(b), 5.6(b), 5.9(b), 5.11(b)

Problems #5.1, 5.2
 

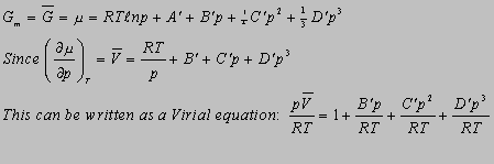
5.2(b)

5.4(b)

5.6(b)

5.9(b)

5.11(b)

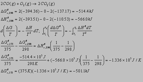
5.1

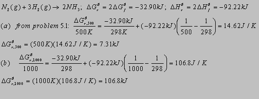
5.2