CHM 4410-01

HOMEWORK #8

OCTOBER 28, 1998

SOLUTIONS


 
 

Chapter 7, Exercises # 7.1(b), 7.3(b), 7.5(b), 7.6(b), 7.7(b), 7.8(b), 7.9(b), 7.10(b), 7.12(b), 7.14(b), 7.15(b), 7.17(b), 7.18(b), 7.19(b)

7.1(b)

7.3(b)

7.5(b)

7.6(b)

7.7(b)

7.8(b)

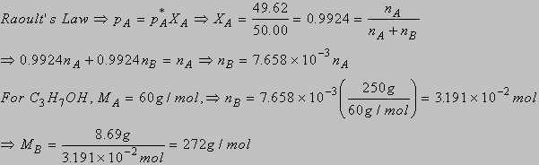
7.9(b)

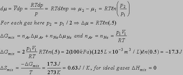
For ideal gases there is no interaction between the molecules so that mixing just means letting the gases expand to fill the total volume.

7.10(b)

7.12(b)

7.14(b)

7.15(b)

7.17(b)

7.18(b)

7.19(b)