CHM 4410-01

HOMEWORK #9

SOLUTIONS

November 18, 1998


 


Chapter 9, Exercises # 9.2(b), 9.4(b), 9.5(b), 9.7(b), 9.8(b), 9.9(b), 9.11(b), 9.14(b), 9.15(b)

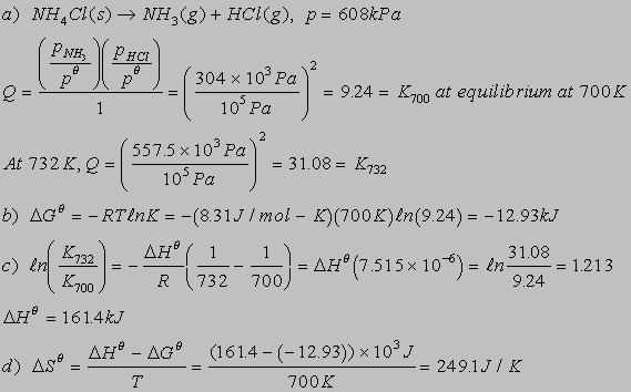
Problem # 9.2
 

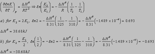
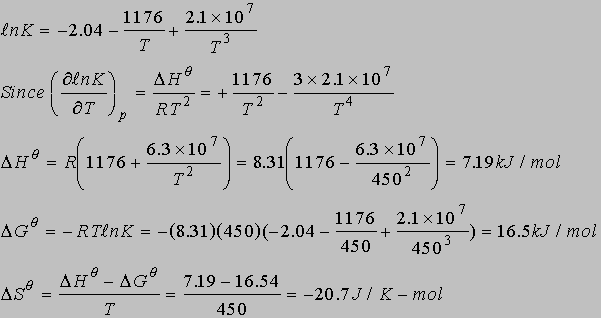
9.2(b)


 

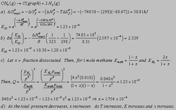
9.4(b)


 

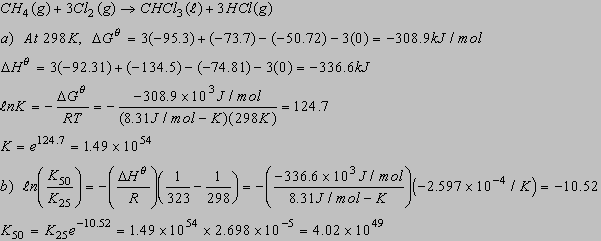
9.5(b)


 

9.7(b)


 

9.8(b)

9.9(b)


 

9.11(b)


 

9.14(b)


 

9.15(b)

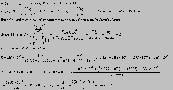
9.2